CHINESES
Dongeng
Legenda
Kisah Nabi
Abu Nawas
Mega Menu
More Menu
_About Us
_Contact Us
_Shortcodes
_Disclaimer
_Sitemap
主页
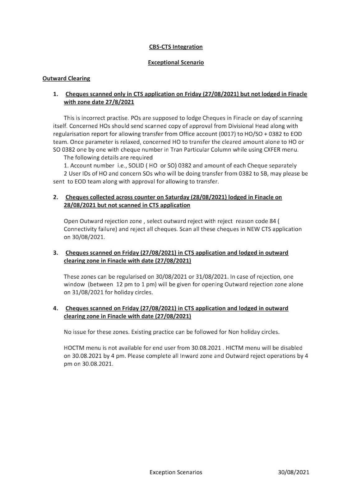
CBS-CTS
Exceptional Scenario of CBS-CTS Integration w.e.f 30.08.2021
by
admin
—
八月 30, 2021
0
Post a Comment
后一页
前一页
Iklan In-Feed (homepage)
" target="_blank">Responsive Advertisement
Formulir Kontak
发表评论